5. Influența creșterii diametrului cuptorului asupra materialelor refractare în cuptoarele de ciment
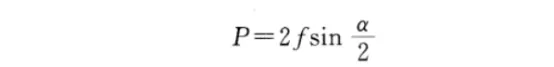
Capătul rece al cărămizilor refractare utilizate în cuptorul rotativ de ciment este supus presiunii de extrudare \\ (p \\) din coaja de cuptor, iar cele două fețe laterale sunt supuse presiunii de echilibrare \\ (f \\) a inelului de cărămidă. În figură, este prezentat echilibrul de forță extern pe coaja cuptorului și pe cărămizi refractare.

Conform condițiilor de echilibru, presiunea de extrudare \\ (p \\) exercitată de coaja de cuptor de pe cărămizile refractare, forța de reacție echilibrată \\ (f \\) în inelul de cărămidă refractară, iar unghiul central \\ (\\ alfa \\) subliniat de cărămizile refractare satisface următoarea relație (neglijând greutatea cărămizilor):

According to the geometric conditions shown in the figure, the following approximate relationship is satisfied among the rotary kiln diameter \\( D \\), the large-head (cold end) dimension \\( A \\) of the refractory brick shown in the figure, the small-head (hot end) dimension \\( B \\) of the refractory brick, the height \\( h \\) of the refractory brick, and the central angle \\( \\alpha \\) subtended by the cărămidă refractară:

Diametrul cilindrului de cuptor în noile cuptor rotativ de ciment cu proces uscat a crescut continuu odată cu extinderea capacității de producție, crescând de la 3300mm la actualul 6400mm, aproape dublarea. În prezent, există în principal două tipuri de forme de cărămidă utilizate în cuptoarele rotative de ciment. Cărămizile alcaline adoptă, în general, forma de cărămidă din seria VDZ (o serie comună internațională cu o lățime constantă de mijloc de 71,5 mm), în timp ce cărămizile refractare silico-aluminoase sinterizate folosesc în general forma de cărămidă din seria ISO (o serie comună internațională cu o lățime constantă de cap mare de 103 mm). Înălțimea și grosimea cărămizilor refractare sunt relativ fixate, lăsând puțin spațiu pentru reglare. Dacă înălțimea cărămizilor refractare este prea mică, performanța lor de izolare termică va fi prea slabă. Odată ce capătul fierbinte al cărămizilor este ușor deteriorat, temperatura corpului cuptorului va crește peste limita superioară, ceea ce duce la oprirea cuptorului pentru înlocuirea cărămizii. Dacă înălțimea cărămizilor refractare este prea mare, greutatea cărămizilor va crește, provocând o deformare excesivă a corpului cuptorului și deteriorarea cărămizilor refractare.

Odată cu creșterea diametrului cuptorului și a vitezei de rotație, în special pentru cuptoarele de sprijin avansate din punct de vedere tehnologic, care au o viteză de rotație mai mare de până la 5R\/min, este probabil să crească ovalitatea cochiliei de cuptor. În mod corespunzător, există cerințe mai mari pentru stresul compresiv pe cărămizi refractare. Prin urmare, sunt necesare cărămizi refractare cu o rezistență ridicată la compresiune. În special, pentru coaja de cuptor din zona anvelopelor, este necesară utilizarea cărămizilor refractare cu aceleași caracteristici pe cât posibil în vecinătatea anvelopei.
Pe măsură ce diametrul cuptorului se extinde, unghiul central corespunzător cărămizii refractare devine mai mic, iar stresul suportat de cărămida refractară crește. În același timp, cerințe mai stricte sunt impuse toleranței dimensionale a cărămizii refractare. Diametrul cochiliei de cuptor al unui 10, 000 - ton - cuptorul de ciment din clasă atinge 6,4 m, ceea ce stabilește cerințe extrem de ridicate pentru dimensiunile externe ale cărămizilor refractare din interiorul cuptorului. Cărămizile refractare cu abateri mari ale dimensiunilor externe sunt predispuse la accidente precum alunecarea de cărămidă și căderea în timpul proceselor de depunere și utilizare, punând în pericol grav funcționarea normală a cuptorului de ciment.
6. Factori care afectează durata de viață a materialelor refractare în cuptoarele rotative
Există mulți factori care afectează durata de viață a garniturilor refractare în cuptoare, care nu sunt doar probleme cu produsele din materiale refractare. Acestea includ stresul termic, stresul chimic și stresul mecanic generat în timpul operațiunilor de producție de ciment, calitatea materiilor prime calce, proiectarea și selecția materialelor refractare, calitatea, depozitarea, construcția și zidăria materialelor refractare, printre alți factori.
7. Influența stresului mecanic asupra duratei de viață a cărămizilor refractare în cuptor
Stresul mecanic se referă la forțele interne care acționează între diferite părți ale unui obiect atunci când se deformează din cauza cauzelor externe. Aceste forțe interne rezistă cauzelor externe și încearcă să restabilească obiectul la poziția inițială înainte de deformare. Când stresul mecanic îndurat de cărămizi refractare din cuptor depășește propria lor rezistență, cărămizile vor suferi daune parțiale sau complete sub acțiunea stresului. Principalii factori care provoacă stres mecanic sunt următorii:
(1) Deformare eliptică. Factorii cuprinzători, cum ar fi cărămizile de căptușeală refractară din cuptorul rotativ, materialul cuptorului și greutatea de sine a cochiliei de cuptor fac ca coaja de cuptor să se deformeze. Sub acțiunea gravitației și a sarcinii termice, secțiunea circulară a cochiliei devine eliptică. Când cuptorul este în funcțiune, elipsa impune stres mecanic pe cărămizile refractare, iar cu cât ovalitatea este mai mare, cu atât este mai mare stresul mecanic generat. Stresul de forfecare cauzat de schimbarea ovalității acționează în direcția tangențială a fiecărui inel de cărămizi, ceea ce duce la stingerea inelară a cărămizilor. În general, piesele vândute sunt uniforme în grosime și textură dură.
(2) Offset axial al cuptorului rotativ. Cuptorul rotativ este susținut de anvelope, role de susținere și idler, iar axa sa ar trebui să fie o linie dreaptă care leagă punctele centrale ale secțiunilor circulare ale cuptorului. Cu toate acestea, după instalarea cochiliei de cuptor și a tăierii și înlocuirii parțiale a cochiliei, sau după ce cuptorul a funcționat pentru o perioadă de timp, cu condiții de lucru termice instabile, axa cochiliei de cuptor se va schimba sub acțiunea sarcinii termice și a greutății. După funcționarea pe termen lung, uzura anvelopelor și rolele de susținere, devierea exterioară și interioară a rolelor de susținere și schimbarea condițiilor de încărcare la fiecare punct de sprijin-mai ales atunci când sarcina la punctul de susținere este prea mare, provoacă ușor ardere a rulmenților de susținere a rulourilor, susținerea rulourilor. Acest lucru va agrava și mai mult compensarea axială a cochiliei, ceea ce duce la deformarea extrudării, deteriorarea sau vărsarea cărămizilor refractare. Cărămizile refractare deteriorate prezintă diferite adâncimi de formă.
8. Influența stresului termic asupra duratei de viață a cărămizilor refractare în cuptor
Stresul termic se referă la stresul generat într -un obiect atunci când temperatura se schimbă, deoarece nu se poate extinde sau se poate contracta complet liber din cauza constrângerilor externe și a constrângerilor reciproce între părțile interne. Extinderea termică la temperaturi înalte provoacă cu ușurință expansiunea axială și stresul de extrudare în cărămizile refractare, ceea ce este unul dintre motivele importante pentru stingerea și deteriorarea cărămizilor refractare din cuptor. Luând exemple de cărămizi cromate de magnezie sau spinel, rata de expansiune la 1400 grade poate fi calculată ca 1,6%, iar cantitatea de expansiune a unei cărămidă refractară cu o lungime de 198mm poate atinge 3,17 mm. Cu o astfel de expansiune semnificativă, dacă îmbinările circumferențiale nu sunt rezervate în mod corespunzător, fiind prea mari sau prea mici va provoca alunecare, căderea și căderea de cărămidă, scurtarea gravă a duratei de viață a cărămizilor refractare.
9. Influența operațiunilor de producție rotativă a cuptorului pe durata de viață a materialelor refractare
Mecanismul de influență al operațiunilor de producție asupra duratei de viață a cărămizilor refractare este complex și implică mulți factori. Analiza este realizată în principal din următoarele două aspecte:
(1) Daune din cărămidă cauzate de temperatura de calcinare excesiv de mare.
Temperatura flăcării din noul cuptor de pre-descompunere a procesului uscat poate depăși gradul 17 0 {0, iar temperaturile de lucru în zona de tranziție, zona de ardere, zona de răcire, capota cuptorului, gâtul și zona de temperatură ridicată a răcirelor și zona de duze exterioară sunt, de asemenea, mult mai ridicate decât cele ale kilnurilor tradiționale în pozițiile corespondente. Chiar și cu materiale refractare de înaltă calitate, durata de viață a garniturilor de cuptor în zona de tranziție, zona de ardere și zona de răcire a cuptoarelor rotative mari este în general de 0,5 până la 1 an și, în unele cazuri, de până la 3 până la 5 luni; Durata de viață a gurii de cuptor și a duzei este de obicei doar 0,5 până la 1 an sau chiar mai scurtă; Iar durata de viață a capotei de cuptor și a garniturilor de gât mai reci este de aproximativ 2 ani. În timpul etapei de producție de încercare, rata de operare a cuptoarelor rotative este de obicei de doar 70% până la 75% sau chiar mai mică, foarte puține ajungând la 85% până la 90%. Dacă funcționarea cuptorului de preîncălzire și descompunere este slabă, iar gradul de descompunere a materialului care intră în cuptor este instabil, pozițiile diferitelor zone de proces din cuptor se vor schimba frecvent, ceea ce duce la o funcționare instabilă a cuptorului și la daune mai rapide la căptușeala cuptorului. De exemplu, temperatura de calcinare excesiv de mare poate provoca deteriorare și gropi topite în cărămizile refractare din interiorul cuptorului, așa cum este înconjurat în figura 5.
(2) Daune din cărămidă cauzate de viteza mare de rotație a cuptorului.
Viteza de rotație a noilor cuptoare de pre-descompunere a procesului uscat ajunge adesea la 3 până la 3,7 r\/min și poate depăși chiar 4 r\/min, cu viteza liniară a cochiliei rotative care depășește 1 m\/s. În noile cuptoare de proces uscat, cu viteză ridicată de rotație, diametru mare și temperatură ridicată, efectele de deteriorare cuprinzătoare ale tensiunii termice, tensiunii mecanice și eroziunii chimice pe căptușeala cuptorului sunt mult mai mari decât cele din cuptoarele tradiționale. Acest lucru necesită ca mucoasa cuptorului să aibă o rezistență și stabilitate suficientă atât în stările reci, cât și în cele fierbinți.
10. Mecanismul de eroziune al cărămizilor refractare în cuptoarele rotative
Principala funcție a cărămizilor refractare într-un cuptor rotativ este de a proteja coaja cuptorului de deteriorarea cauzată de gaze și materiale la temperaturi ridicate, asigurând funcționarea normală a producției. În producția industrială, durata de viață a cărămizilor refractare din zona de ardere este foarte scurtă, ceea ce duce adesea la oprirea cuptorului neplanificat pentru întreținere. Acest lucru a devenit un factor esențial care afectează operațiunea de înaltă calitate, cu un randament ridicat, cu consum scăzut și rata de operare anuală a cuptoarelor de ciment.
Fie în cuptoarele cu proces umed sau în cuptoarele rotative cu proces uscat, în timpul procesului de calcinare a clincherului, temperatura gazului din interiorul cuptorului este mult mai mare decât temperatura materialului. De fiecare dată când cuptorul se rotește, suprafața căptușelii cuptorului suferă un șoc termic periodic, cu variații de temperatură cuprinse între 150 și 250 de grade, generând tensiune termică în stratul de suprafață de 10-20 mm al căptușelii cuptorului. Căptușeala cuptorului rezistă, de asemenea, la alternarea tensiunilor mecanice radiale și axiale din cărămidă din cauza rotirii cuptorului, precum și a eroziunii și a uzurii din materiale calcine.
Topirea de silicat este generată simultan, ceea ce interacționează cu ușurință cu suprafața cărămizilor refractare cu căptușeală din cuptor în medii la temperaturi înalte pentru a forma un strat inițial. De asemenea, pătrunde în interiorul cărămizilor refractare de -a lungul porilor lor și legăturile cu acestea, modificând compoziția chimică și compoziția de fază în stratul de suprafață de 10-20 mm al cărămizilor refractare și degradându -și performanța tehnică. Atunci când materialul are un interval de sinterizare îngust sau se produc temperaturi ridicate locale din cauza trasării rapide cu flăcări scurte, temperatura minimă pe suprafața pielii cuptorului poate depăși temperatura de solidificare a fazei lichide a materialului. Stratul de suprafață al pielii cuptorului trece apoi de la solid la lichid și se desprind, pătrundând de la suprafață la interiorul pielii cuptorului înainte de a forma un nou strat inițial. Când acest ciclu se repetă, căptușeala cuptorului din zona de ardere subliniază treptat și se poate detașa chiar complet, expunând coaja cuptorului local și provocând „cuptor roșu” (supraîncălzire). În realitate, acesta este modul în care se deteriorează căptușeala cuptorului din zona de ardere: în zonele cu temperaturi înalte, grosimea reziduală a cărămizii distribuie, în general, de-a lungul unei curbe cu o rază mare de curbură, uneori cu baza curbă căzând pe suprafața interioară a cochiliei cuptorului.
Încercați să faceți clic pe linkul de mai jos pentru a afla mai multe informații despre produs.
Cărămidă spinel din alumină magneză

